登录
注册
购物车
(
0
)
最近加入
[name]
¥
[price]
x
[num]
立即结算(
0
)
合计:¥
0.00
共
0
件商品
全部分类
水质监测仪
PH/ORP仪表
电导/电阻仪
溶氧和余氯
仪表电极常用配件
其它仪器仪表
水质分析仪
多参数水质监测仪
浊度计/浓度计
天平仪器
滴定仪
电子秤
流量液位压力
流量计
压力表
液位计
温度变送器
其他仪表配件
压力变送器
其他变送器
物位计
计量泵
电磁隔膜计量泵
机械隔膜计量泵
柱塞式计量泵
液压隔膜计量泵
计量泵配件
其他类型计量泵
液体搅拌机
KD小型搅拌机
D型立式搅拌机
ML型慢速搅拌机
C型移动式搅拌机
其他搅拌器
气动隔膜泵
塑料气动隔膜泵
金属气动隔膜泵
食品级隔膜泵
电子级隔膜泵
隔膜泵配件
成套加药系统
循环水加药装置
RO反渗透装置
干粉投加装置
配电箱定制
非标系统订制
纯水设备
RO膜及膜壳
控制阀门
过滤产品
药箱和储罐
水处理耗材
其它产品
标准溶液
管路配件
泵类产品
螺杆泵
其它
变频器
水泵
离心泵
潜水泵
磁力泵
污水泵
自吸泵
管道泵
增压泵
其他类型泵
风机
鼓风机
离心风机
罗茨风机
高压风机
试剂
缓冲液
标准液
水质检测试剂
水质监测仪
流量液位压力
计量泵
液体搅拌机
气动隔膜泵
成套加药系统
纯水设备
行业博客
水泵
〉
离心泵
〉 LEO利欧WQD污水切割抽粪潜水排污家用污水浙江温州水泵增压泵
LEO利欧WQD污水切割抽粪潜水排污家用污水浙江温州水泵增压泵
价格
¥700~1800
品 牌 名 称:
利欧
商 品 编 码:
规 格 型 号:
WQD
分 类:
水泵
小 分 类:
潜水排污泵
+
-
加入购物车
联系客服获取报价
电话:17317795937
利欧 (LEO) WQD 系列污水切割潜水排污泵产品说明
1. 核心特点
高效节能
:荣获中国节能认证及浙江制造认证,能效优于国家一级能效(能效之星产品),显著降低能耗费用,符合低碳环保趋势。
强力切割
:配备快速切割螺旋叶轮与刀组,形成强大切割力,能高效切碎污水中的手套、碎布、编织袋及长纤维物,满足大流量排水需求。
多重保护
:专业潜水电机内置过热保护、缺相保护、过流保护,拒绝烧机,确保长久使用。
耐用防腐
:采用全自动铸造防腐耐磨涂装工艺及电泳工艺,铸件壁厚均匀,表面细腻,有效避免生锈问题,耐腐蚀性能优异。
安全电缆
:采用符合 CCC 认证的防水耐油电缆,带铸头的全密封结构,提手处二次加固,适宜户外和接触油污场合。
优化水力
:通过 CFD 软件优化水力结构,叶轮经过动平衡校正(不平衡度达 6.3 级),双口环、双流道设计,运行平稳振动小,通过颗粒能力强。
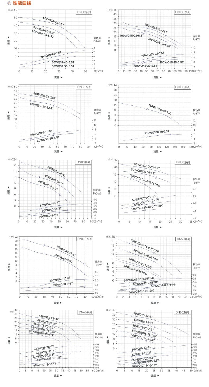
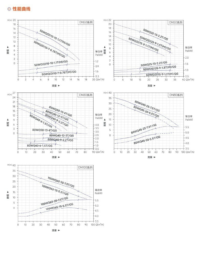
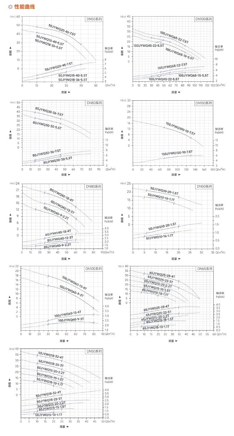
2. 技术参数
参数项目
规格范围/说明
产品系列
新款 WQ-T 中污系列
配套功率
0.75kW - 7.5kW
电压/频率
220V/50Hz 或 380V/50Hz
同步转速
3000 rpm
额定流量
6 - 65 m³/h
额定扬程
9 - 40 m
最大扬程
13 - 44.4 m
通过颗粒直径
最大可达 80mm (视具体型号而定)
配管直径
50mm - 100mm
最大工作压力
PN6
防护等级
IPX8
绝缘等级
纯铜电机,低噪运行
3. 应用行业
生活污水
:家庭、小区及商业区的生活污水排放。
养殖排污
:畜牧养殖场废水清理及排污系统。
河道清淤
:河道淤塞清理、积水排放及水利建设。
工厂废水
:工业废水处理及排放系统。
农田灌溉
:农业用水抽排及灌溉系统。
雨水排放
:城市防洪排涝及雨水收集排放。
4. 安装条件
电源匹配
:安装前务必确认现场电源电压(220V 或 380V)与泵铭牌标识一致,防止电机损坏。
环境适应性
:电缆具有耐温和耐油性,适宜户外和接触油污的场合使用,但需确保电缆无破损。
管路连接
:根据型号选择匹配的配管直径(50-100mm),确保连接处密封良好,避免泄漏。
潜水要求
:本系列为潜水排污泵,工作时泵体需完全浸没在水中,以确保电机冷却及正常运行。
固定措施
:利用泵体提手或吊环进行安装固定,电缆线需妥善固定,避免受力拉扯。
5. 注意事项
严禁干转
:潜水泵必须在水中运行,严禁无水空转,以免导致电机过热烧毁。
颗粒限制
:虽具备切割功能及双流道设计,但仍需注意通过颗粒的最大直径限制,避免超大硬物进入泵体损坏叶轮。
电缆保护
:使用符合 CCC 认证的电缆,安装及移动时勿用力拉扯电缆线,防止内部线芯断裂或密封失效。
旋转方向
:启动前确认电机旋转方向正确,反转会导致流量扬程下降及部件松动。
定期维护
:定期检查机械密封及油室状态,确保防腐涂层完好,清理滤网杂物,延长使用寿命。
安全防护
:在进行安装或维护前,务必切断电源,确保操作安全。
关键词:
利欧WQD污水泵
潜水排污泵
家用污水抽粪泵
强劲切割排污泵
高效节能污水泵
上海阔思电子有限公司
售后保障
商品(50000)
手机社区
相关同类产品
利欧水泵LVR(S)系列立式多级离心泵高层建筑给排水泵输送泵管道泵
分类:离心泵
价格:1373.00
[查看详情]
利欧水泵XSTP系列卧式单级单吸离心泵高功率工业排水水处理排污泵
分类:离心泵
价格:3000.00
[查看详情]
利欧水泵LPP系列立式管道泵增压泵大功率高扬程工业泵供水高压泵
分类:离心泵
价格:7000.00
[查看详情]
南方多级离心泵CDMF1-15 供水系统/工业液体输送/工业增压泵水泵
分类:离心泵
价格:2431.20
[查看详情]
南方不锈钢离心泵CDLF8-5FSWSC轻型立式多级泵 消防系统水处理泵
分类:离心泵
价格:1500.00
[查看详情]
南方立式多级离心泵配件CDLF8-4FSWSR 液体输送泵机械密封/轴封
分类:离心泵
价格:180.00
[查看详情]
南方增压泵CHL2-30LSWLC轻型卧式多级离心泵水泵不锈钢水处理泵
分类:离心泵
价格:1080.00
[查看详情]
南方非自吸轻型卧式多级离心泵CHL2-30水净化/水产养殖不锈钢水泵
分类:离心泵
价格:827.85
[查看详情]
南方氟塑料离心泵SZ50-32-125 耐酸碱腐蚀化工泵单级卧式水泵
分类:离心泵
价格:1500.00
[查看详情]
南方卧式离心泵CHL20-20LSWSC 不锈钢轻型卧式多级离心水泵增压泵
分类:离心泵
价格:2377.20
[查看详情]
水质监测仪
→
PH/ORP仪表
电导/电阻仪
溶氧和余氯
仪表电极常用配件
其它仪器仪表
水质分析仪
多参数水质监测仪
浊度计/浓度计
天平仪器
滴定仪
电子秤
流量液位压力
→
流量计
压力表
液位计
温度变送器
其他仪表配件
压力变送器
其他变送器
物位计
计量泵
→
电磁隔膜计量泵
机械隔膜计量泵
柱塞式计量泵
液压隔膜计量泵
计量泵配件
其他类型计量泵
液体搅拌机
→
KD小型搅拌机
D型立式搅拌机
ML型慢速搅拌机
C型移动式搅拌机
其他搅拌器
气动隔膜泵
→
塑料气动隔膜泵
金属气动隔膜泵
食品级隔膜泵
电子级隔膜泵
隔膜泵配件
成套加药系统
→
循环水加药装置
RO反渗透装置
干粉投加装置
配电箱定制
非标系统订制
纯水设备
→
RO膜及膜壳
控制阀门
过滤产品
药箱和储罐
水处理耗材
其它产品
→
标准溶液
管路配件
泵类产品
螺杆泵
其它
变频器
水泵
→
离心泵
潜水泵
磁力泵
污水泵
自吸泵
管道泵
增压泵
其他类型泵
风机
→
鼓风机
离心风机
罗茨风机
高压风机
试剂
→
缓冲液
标准液
水质检测试剂
0
电话号码
17317795937
置顶