登录
注册
购物车
(
0
)
最近加入
[name]
¥
[price]
x
[num]
立即结算(
0
)
合计:¥
0.00
共
0
件商品
全部分类
水质监测仪
PH/ORP仪表
电导/电阻仪
溶氧和余氯
仪表电极常用配件
其它仪器仪表
水质分析仪
多参数水质监测仪
浊度计/浓度计
天平仪器
滴定仪
电子秤
流量液位压力
流量计
压力表
液位计
温度变送器
其他仪表配件
压力变送器
其他变送器
物位计
计量泵
电磁隔膜计量泵
机械隔膜计量泵
柱塞式计量泵
液压隔膜计量泵
计量泵配件
其他类型计量泵
液体搅拌机
KD小型搅拌机
D型立式搅拌机
ML型慢速搅拌机
C型移动式搅拌机
其他搅拌器
气动隔膜泵
塑料气动隔膜泵
金属气动隔膜泵
食品级隔膜泵
电子级隔膜泵
隔膜泵配件
成套加药系统
循环水加药装置
RO反渗透装置
干粉投加装置
配电箱定制
非标系统订制
纯水设备
RO膜及膜壳
控制阀门
过滤产品
药箱和储罐
水处理耗材
其它产品
标准溶液
管路配件
泵类产品
螺杆泵
其它
变频器
水泵
离心泵
潜水泵
磁力泵
污水泵
自吸泵
管道泵
增压泵
其他类型泵
风机
鼓风机
离心风机
罗茨风机
高压风机
试剂
缓冲液
标准液
水质检测试剂
水质监测仪
流量液位压力
计量泵
液体搅拌机
气动隔膜泵
成套加药系统
纯水设备
行业博客
水泵
〉
离心泵
〉 南泵流体LD32-40-50-65-80-100立式管道空调热水循环泵南方TD同款
南泵流体LD32-40-50-65-80-100立式管道空调热水循环泵南方TD同款
价格
¥1850~4420
品 牌 名 称:
南方泵业
商 品 编 码:
规 格 型 号:
LD32-40-50-65-80-100
分 类:
泵
小 分 类:
立式管道循环泵
+
-
加入购物车
联系客服获取报价
电话:17317795937
产品整理报告
核心特点
结构设计
:LD型单级管道循环泵采用顶部可拉出的拆装形式,便于在不影响管路系统的情况下对泵进行维修。
抗杂质能力
:相比同类产品,更不易受到泵送液体中杂质的影响。
便拆式结构
:LD200-LD300口径产品采用集装式机械密封,更换机械密封时无需拆卸电机。
应用广泛
:适用于区域供热系统、暖通空调系统、冷却系统、生活热水系统和工业液体输送等多种场景。
技术参数
运行条件
:
输送介质:稀薄、干净、非侵蚀、非易燃易爆,且不含固体颗粒或纤维。
液体温度:-15℃至110℃。
环境温度:最高+40℃。
海拔:最高1000m。
最大工作压力:常规型为12bar,特殊型为16bar。
旋转方向:顺时针(从电机风叶端往下看)。
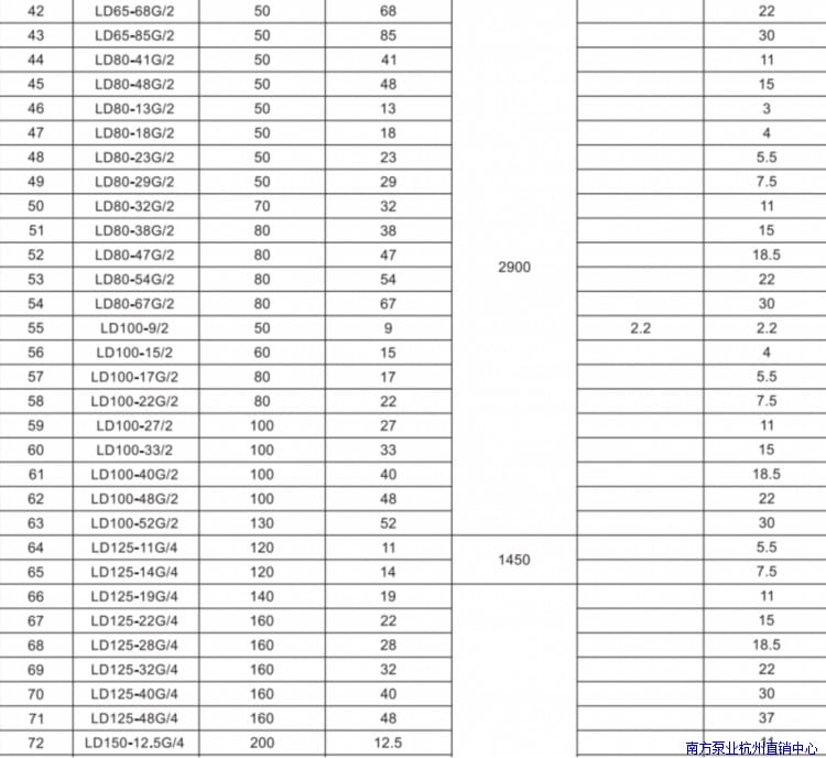
性能参数表
: | 序号 | 泵型号 | Q (m³/h) | H (m) | n (r/min) | |------|-------------|-----------|-------|-----------| | 1 | LD32-14G/2 | 8 | 14 | 2900 | | 2 | LD32-18G/2 | 8 | 18 | 2900 | | ... | ... | ... | ... | ... | | 100 | LD250-56/4 | 500 | 56 | 1450 |
标准电机电压
:单相220V,三相380V。
应用行业
区域供热系统(水质需满足公认标准)。
暖通、空调系统。
冷却系统。
生活热水系统。
工业液体输送。
安装条件
环境要求
:安装场所应通风良好,避免潮湿和腐蚀性气体。
基础要求
:设备需安装在稳固的基础上,确保水平。
管路连接
:进出口管路需与泵的接口尺寸匹配,并确保密封性。
电气连接
:根据电机功率选择合适的电源线径,确保接地可靠。
注意事项
在液体粘稠或密度较大情况下使用时,可能会导致泵特性曲线下降和能耗增加。
定期检查泵的运行状态,及时清理泵内可能存在的杂质。
更换机械密封时,注意遵循操作规范,避免损坏其他部件。
长时间停机时,建议排空泵内的液体,防止腐蚀或冻结。
使用过程中如发现异常噪音或振动,应立即停机检查。
关键词:
南方泵业循环泵
LD立式管道泵
空调热水循环泵
南方TD同款水泵
上海阔思电子
管道增压泵
工业循环水泵
售后保障
商品(50000)
手机社区
相关同类产品
利欧水泵LVR(S)系列立式多级离心泵高层建筑给排水泵输送泵管道泵
分类:离心泵
价格:1373.00
[查看详情]
利欧水泵XSTP系列卧式单级单吸离心泵高功率工业排水水处理排污泵
分类:离心泵
价格:3000.00
[查看详情]
利欧水泵LPP系列立式管道泵增压泵大功率高扬程工业泵供水高压泵
分类:离心泵
价格:7000.00
[查看详情]
南方多级离心泵CDMF1-15 供水系统/工业液体输送/工业增压泵水泵
分类:离心泵
价格:2431.20
[查看详情]
南方不锈钢离心泵CDLF8-5FSWSC轻型立式多级泵 消防系统水处理泵
分类:离心泵
价格:1500.00
[查看详情]
南方立式多级离心泵配件CDLF8-4FSWSR 液体输送泵机械密封/轴封
分类:离心泵
价格:180.00
[查看详情]
南方增压泵CHL2-30LSWLC轻型卧式多级离心泵水泵不锈钢水处理泵
分类:离心泵
价格:1080.00
[查看详情]
南方非自吸轻型卧式多级离心泵CHL2-30水净化/水产养殖不锈钢水泵
分类:离心泵
价格:827.85
[查看详情]
南方氟塑料离心泵SZ50-32-125 耐酸碱腐蚀化工泵单级卧式水泵
分类:离心泵
价格:1500.00
[查看详情]
南方卧式离心泵CHL20-20LSWSC 不锈钢轻型卧式多级离心水泵增压泵
分类:离心泵
价格:2377.20
[查看详情]
水质监测仪
→
PH/ORP仪表
电导/电阻仪
溶氧和余氯
仪表电极常用配件
其它仪器仪表
水质分析仪
多参数水质监测仪
浊度计/浓度计
天平仪器
滴定仪
电子秤
流量液位压力
→
流量计
压力表
液位计
温度变送器
其他仪表配件
压力变送器
其他变送器
物位计
计量泵
→
电磁隔膜计量泵
机械隔膜计量泵
柱塞式计量泵
液压隔膜计量泵
计量泵配件
其他类型计量泵
液体搅拌机
→
KD小型搅拌机
D型立式搅拌机
ML型慢速搅拌机
C型移动式搅拌机
其他搅拌器
气动隔膜泵
→
塑料气动隔膜泵
金属气动隔膜泵
食品级隔膜泵
电子级隔膜泵
隔膜泵配件
成套加药系统
→
循环水加药装置
RO反渗透装置
干粉投加装置
配电箱定制
非标系统订制
纯水设备
→
RO膜及膜壳
控制阀门
过滤产品
药箱和储罐
水处理耗材
其它产品
→
标准溶液
管路配件
泵类产品
螺杆泵
其它
变频器
水泵
→
离心泵
潜水泵
磁力泵
污水泵
自吸泵
管道泵
增压泵
其他类型泵
风机
→
鼓风机
离心风机
罗茨风机
高压风机
试剂
→
缓冲液
标准液
水质检测试剂
0
电话号码
17317795937
置顶